La sentència del Tribunal Superior de Justícia que avala l’adjudicació del servei de bicicleta elèctrica compartida a Montre SL no agrada a l’empresa que va quedar descartada en el concurs, Etna Serveis. “Ens sentim en indefensió jurídica”, va afirmar ahir des d’aquesta societat Carles Porté, motiu pel qual estan valorant portar el cas fins al Tribunal Constitucional.

Des d’Etna Serveis consideren que la sentència és “molt forçada” i no entenen que la decisió del Tribunal Superior sigui tan diferent de la que va prendre la Batllia, que va anul·lar l’adjudicació i va obligar a tornar a valorar les dues ofertes que s’havien presentat al concurs per a la gestió del servei. Un dels aspectes que més grinyolen de l’adjudicació és el canvi de proveïdor de bicicletes que l’empresa guanyadora va proposar al Govern un cop ja havia resultat adjudicatària el 19 de desembre del 2017, un dia després de signar el contracte. El 27 de desembre del mateix any, el Govern va aprovar el canvi de proveïdor. “El que hi ha al carrer no és el que va guanyar el concurs”, remarca Porté, que mostra els seus dubtes sobre si aquest aspecte entra dins de la legalitat.

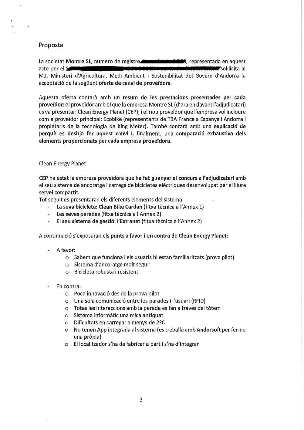
Des d’Etna Serveis es fa èmfasi en la carta de sol·licitud de canvi de proveïdor presentada per Montre SL al Govern. En aquest document, l’empresa cita els punts a favor i en contra de la bicicleta proposada en un inici (amb la qual va guanyar el concurs) i els punts a favor i en contra del nou model proposat. Sorprèn, segons remarca Etna Serveis, que la primera bicicleta (Clean Energy Planet) presenti més aspectes negatius que positius i es pregunta com es va poder adjudicar el servei tenint en compte aquesta qüestió.
En la carta, Montre també anuncia que amb el canvi de proveïdor es posarà a disposició del Govern 5.000 euros anuals  acumulables per a la promoció del servei de bicicleta elèctrica compartida. En la resposta a la sol·licitud, el Govern informa que aprova el canvi de proveïdor tenint en compte que això no modifica ni les finalitats ni les característiques bàsiques del projecte inicial i millora la fiabilitat i la qualitat del servei.

Segons la sentència del Tribunal Superior a la qual ha tingut accés el Bon dia, les subcontractacions fetes per l’adjudicatària (qüestionades per Etna Serveis) són conformes a la Llei de contractació pública, ja que tan sols es van encomanar a d’altres empreses prestacions accessòries. La sentència exposa que el “nucli central” de la concessió és la creació del servei i que aquest s’ha de distingir dels mitjans d’explotació del servei (com pot ser el manteniment i reparació de les bicicletes). També fa referència al canvi de proveïdor i remarca que el procediment seguit pel Govern és conforme a la llei. Per altra banda, la sentència no es manifesta sobre els greuges relatius a l’execució del contracte per Montre SL. El tribunal exposa que aquests arguments no poden prosperar, ja que són relatius a fets posteriors a l’adjudicació.

Satisfacció de Montre SL

El gerent de Montre SL, Erik Fraissinet, va remarcar que la sentència del Tribunal Superior confirma que les coses s’han fet seguint la normativa. Així mateix va assenyalar que aquest nou pas posa fi al “fre” que suposava la sentència de la Batllia, “no tant de cara al servei ofert als clients, sinó a impulsar nous projectes dins de Cicland”, que es presentaran en breu. Fraissinet va assenyalar que a l’agost, el servei de bicicleta elèctrica tenia 550 usuaris. La xifra ha crescut des del confinament, ja que la ciutadania aposta pels mitjans de transport sostenibles i per la seguretat que dona la bicicleta, ja que et desplaces tot sol, va dir.